Kwispel jury overview
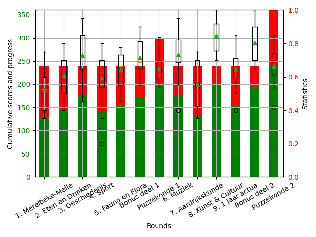
Overview of all rounds
Round |
Progress |
|
1. Merelbeke-Melle
|
Complete
|
|
2. Eten en Drinken
|
Complete
|
|
3. Geschiedenis
|
Complete
|
|
4. Sport
|
Complete
|
|
5. Fauna en Flora
|
Complete
|
|
Bonus deel 1
|
Complete
|
|
Puzzelronde 1
|
Complete
|
|
6. Muziek
|
Complete
|
|
7. Aardrijkskunde
|
Complete
|
|
8. Kunst & Cultuur
|
Complete
|
|
9. 1 Jaar actua
|
Complete
|
|
Bonus deel 2
|
Complete
|
|
Puzzelronde 2
|
Complete
|
Overview of all teams
Team |
Progress |
|
Jonger dan je denkt
|
218.0 / 275.0
|
|
Play & Stay
|
198.5 / 275.0
|
|
Irish Coffee
|
194.5 / 275.0
|
|
Tafel aan den toog
|
187.2 / 275.0
|
|
Under Construction
|
185.7 / 275.0
|
|
Jezus Quistus
|
184.2 / 275.0
|
|
Velters
|
184.0 / 275.0
|
|
Van kwaad naar erger
|
178.7 / 275.0
|
|
Aliens zonder Orval
|
178.7 / 275.0
|
|
De Geburen
|
174.0 / 275.0
|
|
Welweters
|
163.0 / 275.0
|
|
N&S
|
162.0 / 275.0
|
Progress per round
Progress per team